• 繁體版
  • 无障碍
  • 本站地图
  • 关怀版

合水县人民政府

应急管理局政府信息公开

您的位置: 首页 >信息公开>部门文件>详细内容
全文检索
索引号: 3070211020000103000000/2026032700000019 发布机构:
生效日期: 2026-03-27 废止日期:
文 号: 所属主题: 部门文件

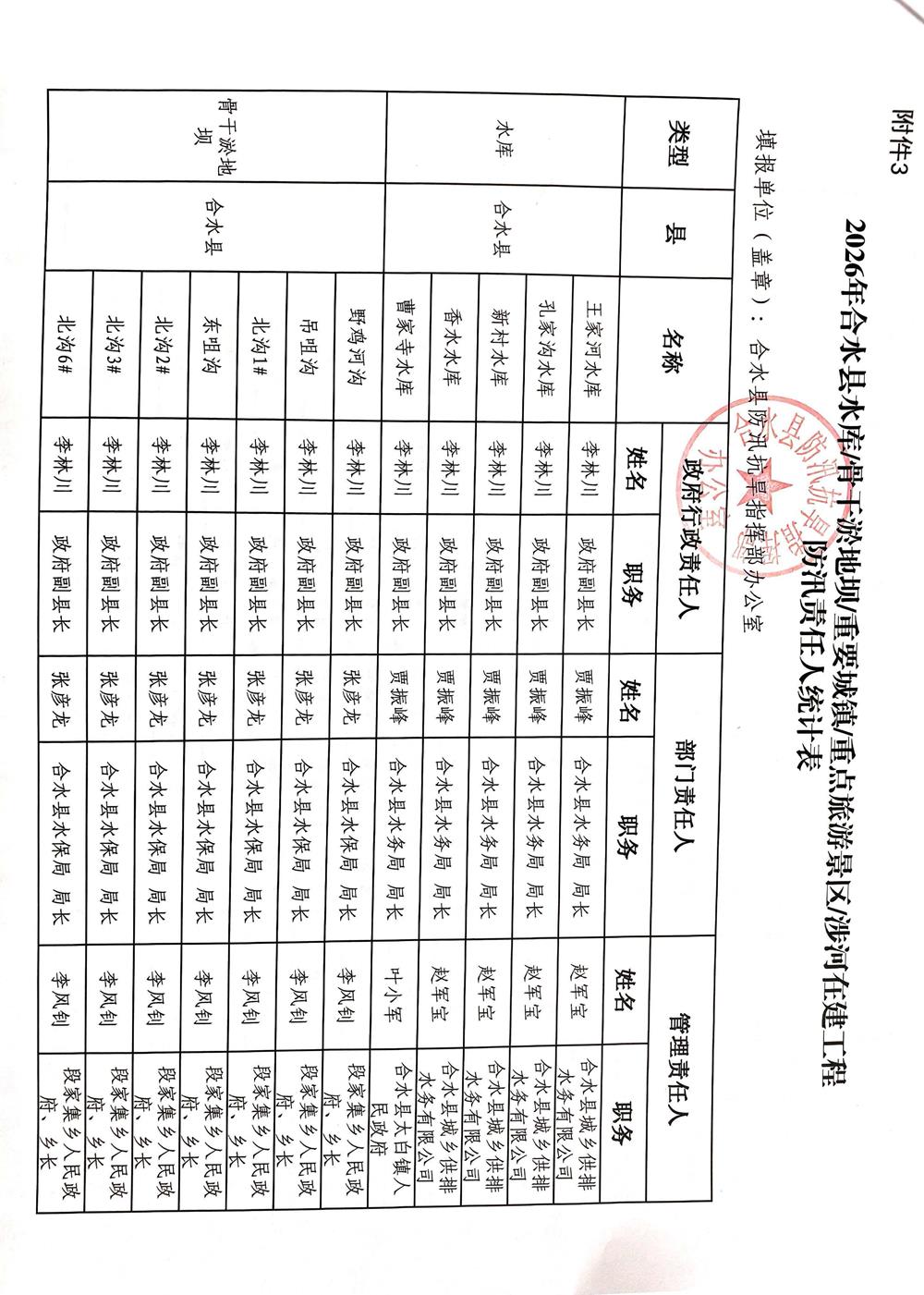
2026年合水县防汛抗旱行政责任人、2026年合水县山洪灾害防御县级行政责任人公示

来源: 发布时间:2026-03-27 浏览次数: 【字体:

02a6e7eb85fd4824b58315f26c18d898.jpg

78eadc7f518c4835bed89931924d0202.jpg7f3d89cb532e4b83bf6934c2542d8430.jpg

9556f3988e574f10878f40948394da62.jpge308274fb5124e64bd50bd607b935433.jpg 3f26077191f94716817f217da82627ac.jpg3c2334aa7513472299d22cd4d341e883.jpg603c27fa5b554ad4aa55c30f2c099309.jpg

【打印正文】
分享到:
【字体: